Des dynamos légères et à haut rendement fabriquées à Taiwan et livrées franco de port pour 125€
Dynamos "Schutter Precision"
vendredi 23 novembre 2012
lundi 12 novembre 2012
CHARGEURS AUTOMATIQUES - Des nouveautés
Mon chargeur de batterie Forumlader 15 V avec USB décrit dans ce blog commence à dater un peu, sa conception date de 2010 et j' ai mis en service le mien début 2011.
La grande originalité de ce chargeur c'est l'astuce de mettre 2 condensateurs en série ou parallèle dans le pont redresseur avec l'inconvénient de devoir les commuter à la main en fonction de la vitesse, si l'on veut optimiser les performances . La commutation doit se faire à 20 km/h en 26" et à 17 km/h en 20".
L'idée d'automatiser cette fonction n'est pas nouvelle mais la réalisation est assez complexe à cause de la sinusoïde très perturbée générée par la dynamo et accentuée par les condensateurs.
Jens During s'y est cassé les dents et j'ai échoué également en faisant fausse route avec une détection de vitesse basée sur la fréquence.
Le jeune cousin de Jens During à réalisé un chargeur automatique avec commutation à 2 niveaux , il à été testé longuement durant 2012 par des membres du forum voyage allemand,et validé avec succès.
Une version dite Ahead de faible encombrement à glisser dans le tube de direction ou le tube de selle a été mis au point et testé.
Une version automatique encore plus performante à quatre niveaux de commutation est déjà en test et la platine électronique à composants de surface sera proposée début 2013, le prix n'est pas connu.
Jens et Sven During sont les initiateurs et les animateurs de ce projet mais toutes les améliorations successives n'auraient pu se faire sans l'apport constant des membres des forum voyage et vélo couché allemands.
Liste de prix , demander le montant des frais de port et le délais avec ce formulaire: Jens During en anglais et bien sur en allemand, il comprend un peu le français.
Les évolutions:
- Forumlader 6V
- Forumlader 12V
- Forumlader 12V + USB ( possibilité bat. Li-ion 14,8 V)*
- Forumlader 12V + USB Automatique 2 niveaux (bat. 11,1V)
- Forumlader 12V + USB automatique 2 niveaux Ahead (bat 11.1V)
- Forumlader Automatique 4 niveaux compact(bat 11,1V)
* Ce modèle à commutation manuelle convient particulièrement aux dynamos montées en 20" ( remorque ou vélo-couché)
Pour connecter des appareils de forte puissance seul le Forumlader en 14,8 V convient car en 11.1 V le courant de décharge maxi. des batteries, de 4A est dépassé.
En 2013 mon chargeur à fonctionné pendant 12 semaines et 5700 km sans aucune panne. Les appareils suivant étaient rechargés:
- 2 téléphones, 2 MP3, 2 appareil photos compacts, le GPS en continu et le PC occasionnellement
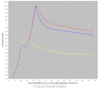
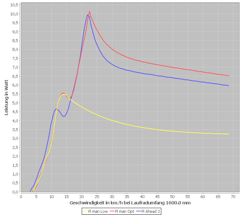
Courbes de puissance 20": jaune Fl manuel low - rouge Fl manuel Optimal - violet Fl Ahead 2
L' automatisme n'apporte pas de puissance par rapport à une gestion optimisée du commutateur de couplage des condensateurs, en vélo couché une version Ahead 2 très compacte ne se justifie pas, la platine SMD est difficilement réparable par tout un chacun.
Courbes de puissance 20": jaune Fl manuel low - rouge Fl manuel Optimal - violet eWerk 5V - bleu clair eWerk 12V - gris Kemo - rose clair zZing
Le Forumlader est clairement plus performant que les modèles commercialisés, la plage de puissance maxi est très étroite mais peut être déplacée en modifiant la capacité des condensateurs d'entrée, pour s'adapter à l'allure de chacun.
Certains modèles commercialisés sont dépourvus de protection contre les surtensions, dans les longues descentes ils peuvent griller leurs composants si en même temps leur batterie ou la batterie branchée arrive en fin de charge. Cette panne est fréquemment évoquée sur les forums.
Courbes de puissance 26": jaune Fl manuel low - rouge Fl manuel Optimal - violet eWerk 5V - bleu clair eWerk 12V - gris Kemo - rose clair zZing
Courbes de puissance 28": jaune Fl manuel low - rouge Fl manuel Optimal - violet eWerk 5V - bleu clair eWerk 12V - gris Kemo - rose clair zZing
Courbe de puissance 20": jaune Fl manuel low - rouge Fl manuel Optimal - vert Fl automatique 4 niveaux
Les quatre niveaux de commutation sont bien visibles, le gain de puissance dans les faibles vitesses est appréciable c'est un chargeur qui va intéresser les voyageurs vélo avec équipements électrique.
Capable de fournir près de 50 W/h par jour, une batterie de forte capacité devra y être couplée, au mini 3A/h et obligatoirement une Li-ion avec sécurités surcharge et décharge.
Un petit logiciel exécutable écrit et mis au point par un membre du forum permet de simuler la production énergie en fonction d'une trace GPX, à ouvrir avec Java.
Calcul énergie et comparatif chargeurs vélo
J' ai eu l'occasion de tester un chargeur Auto 4 niveaux, il est fabriqué uniquement en 11,1 V et ne convient pas pour mon utilisation.
Je suis en train de fabriquer deux chargeurs manuels à titre de sponsoring ( main d'oeuvre) pour une expédition de 6 mois à vélo couché, en Amérique du sud.
Le coût des pièces avec une batterie Li-ion 14.8V 2.6 A/h s'élève à 150 € par chargeur., les 2 batteries reviennent à 100€ avec les frais de port.
Liste de prix des platines et kits à commander chez During
Les frais de port ne sont pas valables pour la France
En résumé les meilleurs choix sont:
- Avec roue de 26 ou 28" chargeur Automatique 4 niveaux batt. 11,1 V 2.5AH
- Avec roue de 20" chargeur manuel 12V avec batt. Li-ion 14,8V 5.8AH.
La grande originalité de ce chargeur c'est l'astuce de mettre 2 condensateurs en série ou parallèle dans le pont redresseur avec l'inconvénient de devoir les commuter à la main en fonction de la vitesse, si l'on veut optimiser les performances . La commutation doit se faire à 20 km/h en 26" et à 17 km/h en 20".
L'idée d'automatiser cette fonction n'est pas nouvelle mais la réalisation est assez complexe à cause de la sinusoïde très perturbée générée par la dynamo et accentuée par les condensateurs.
Jens During s'y est cassé les dents et j'ai échoué également en faisant fausse route avec une détection de vitesse basée sur la fréquence.
Le jeune cousin de Jens During à réalisé un chargeur automatique avec commutation à 2 niveaux , il à été testé longuement durant 2012 par des membres du forum voyage allemand,et validé avec succès.
Une version dite Ahead de faible encombrement à glisser dans le tube de direction ou le tube de selle a été mis au point et testé.
Une version automatique encore plus performante à quatre niveaux de commutation est déjà en test et la platine électronique à composants de surface sera proposée début 2013, le prix n'est pas connu.
Jens et Sven During sont les initiateurs et les animateurs de ce projet mais toutes les améliorations successives n'auraient pu se faire sans l'apport constant des membres des forum voyage et vélo couché allemands.
Liste de prix , demander le montant des frais de port et le délais avec ce formulaire: Jens During en anglais et bien sur en allemand, il comprend un peu le français.
Les évolutions:
- Forumlader 6V
- Forumlader 12V
- Forumlader 12V + USB ( possibilité bat. Li-ion 14,8 V)*
- Forumlader 12V + USB Automatique 2 niveaux (bat. 11,1V)
- Forumlader 12V + USB automatique 2 niveaux Ahead (bat 11.1V)
- Forumlader Automatique 4 niveaux compact(bat 11,1V)
* Ce modèle à commutation manuelle convient particulièrement aux dynamos montées en 20" ( remorque ou vélo-couché)
Pour connecter des appareils de forte puissance seul le Forumlader en 14,8 V convient car en 11.1 V le courant de décharge maxi. des batteries, de 4A est dépassé.
En 2013 mon chargeur à fonctionné pendant 12 semaines et 5700 km sans aucune panne. Les appareils suivant étaient rechargés:
- 2 téléphones, 2 MP3, 2 appareil photos compacts, le GPS en continu et le PC occasionnellement
Courbes de puissance 20": jaune Fl manuel low - rouge Fl manuel Optimal - violet Fl Ahead 2
L' automatisme n'apporte pas de puissance par rapport à une gestion optimisée du commutateur de couplage des condensateurs, en vélo couché une version Ahead 2 très compacte ne se justifie pas, la platine SMD est difficilement réparable par tout un chacun.
Courbes de puissance 20": jaune Fl manuel low - rouge Fl manuel Optimal - violet eWerk 5V - bleu clair eWerk 12V - gris Kemo - rose clair zZing
Le Forumlader est clairement plus performant que les modèles commercialisés, la plage de puissance maxi est très étroite mais peut être déplacée en modifiant la capacité des condensateurs d'entrée, pour s'adapter à l'allure de chacun.
Certains modèles commercialisés sont dépourvus de protection contre les surtensions, dans les longues descentes ils peuvent griller leurs composants si en même temps leur batterie ou la batterie branchée arrive en fin de charge. Cette panne est fréquemment évoquée sur les forums.
Courbes de puissance 26": jaune Fl manuel low - rouge Fl manuel Optimal - violet eWerk 5V - bleu clair eWerk 12V - gris Kemo - rose clair zZing
Courbes de puissance 28": jaune Fl manuel low - rouge Fl manuel Optimal - violet eWerk 5V - bleu clair eWerk 12V - gris Kemo - rose clair zZing
Courbe de puissance 20": jaune Fl manuel low - rouge Fl manuel Optimal - vert Fl automatique 4 niveaux
Les quatre niveaux de commutation sont bien visibles, le gain de puissance dans les faibles vitesses est appréciable c'est un chargeur qui va intéresser les voyageurs vélo avec équipements électrique.
Capable de fournir près de 50 W/h par jour, une batterie de forte capacité devra y être couplée, au mini 3A/h et obligatoirement une Li-ion avec sécurités surcharge et décharge.
Un petit logiciel exécutable écrit et mis au point par un membre du forum permet de simuler la production énergie en fonction d'une trace GPX, à ouvrir avec Java.
Calcul énergie et comparatif chargeurs vélo
J' ai eu l'occasion de tester un chargeur Auto 4 niveaux, il est fabriqué uniquement en 11,1 V et ne convient pas pour mon utilisation.
Je suis en train de fabriquer deux chargeurs manuels à titre de sponsoring ( main d'oeuvre) pour une expédition de 6 mois à vélo couché, en Amérique du sud.
Le coût des pièces avec une batterie Li-ion 14.8V 2.6 A/h s'élève à 150 € par chargeur., les 2 batteries reviennent à 100€ avec les frais de port.
Liste de prix des platines et kits à commander chez During
Les frais de port ne sont pas valables pour la France
En résumé les meilleurs choix sont:
- Avec roue de 26 ou 28" chargeur Automatique 4 niveaux batt. 11,1 V 2.5AH
- Avec roue de 20" chargeur manuel 12V avec batt. Li-ion 14,8V 5.8AH.
dimanche 22 janvier 2012
Les moyeux dynamos

Le principe du moyeu dynamo est connu depuis très longtemps, c'est en 1992 que la firme allemande de construction mécanique "Schmidt" s'est intéressée à ce produit, le patron adepte de vélo au quotidien n'étant pas satisfait des produits existants à l'époque. Le premier modèle était sous-traité et suite à des problèmes divers, Schmidt à commencé à produire dans ses ateliers en 1995.
Schmidt s'était fixé trois exigences à l'époque:
- fiabilité totale pour un usage quotidien par tout temps, depuis peu garantie de 5 ans.
- une faible résistance au roulement à vide sans charge électrique.
- un poids équivalent à un moyeu simple + une dynamo à poulie.
En Allemagne par soucis écologiques mais aussi économiques il y a beaucoup de vélos utilitaires, c'est dans leur culture depuis longtemps, il n'est donc pas étonnant que par le bouche à oreilles et quelques articles de presse les dynamos Schmidt aient vite pris une grande notoriété et un succès commercial.
Le moyeu SON (Schmidts Original Nabendynamo) est un produit de qualité fabriqué en Europe et par conséquent relativement coûteux, environ 200€, il faut donc compter 300€ avec le montage et les rayons. Pour un usage tous temps ou voyage au long cours pas d'hésitations l'investissement est incontournable.
Le secret des moyeux SON c'est d'abord une construction rigoureuse avec des roulements à billes graissés à vie avec joints à faible friction, précédés de joints labyrinthe, mais Herr Schmidt à constaté que celà ne suffisait pas car par les variations de la pression interne dues aux cycles d'échauffements refroidissement, il se produisait des dépressions internes qui aspiraient l'eau.
Par température négative le moyeu gèle et se bloque, au premier démarrage moyeu HS, sans parler des ravages de l'oxydation.
Le problème à été résolu par un évent passant par l'axe et qui égalise les pressions internes, l'étanchéité étant maintenue grâce à un petit soufflet en caoutchouc très souple qui absorbe les différences de volumes.
Sachant tout cela et ayant fixé des limites de budget, je choisis un moyeu dynamo Shimano, ne pratiquant pas le vélo-taf et n'ayant pas de projet de tour du monde.
Le modèle que j'ai sélectionné est le DH- 3D72 disk qui est sorti pour cette année, prix 70€ pour un poids de 570 gr équivalent au SON 28.
La puissance des dynamos est fixée par une norme à 3W (ampoule avant 2.4 W et feux Ar de 0.6W) il est toutefois possible d'en tirer plus .
Les dynamos de vélo, en fait des alternateurs sont des machines électriques limitées en courant, 500mA (3W/6V= 0.5A), cette valeur est incontournable pour tous les modèles, par contre la tension monte proportionnellement à la vitesse. La tension de n'importe qu'elle dynamo, avec une faible charge de 50mA est de 60V à 60 Km/H, la législation Allemande impose d'ailleurs un limiteur de tension pour protéger les lampes.
C'est cette propriété qui est utilisée pour fabriquer un chargeur puissant, la première version construite en 2008 était en 12 V 5 W, la nouvelle version décrite ici est en 16 V avec 8.5 W.
En parallèle un chargeur pour éclairage cyclo-sport est en chantier il va développer plus de12 W à 30 km/H , mais les choix techniques ne sont pas encore pris, car comme un moteur de compétition, plus la puissance est élevé et plus la plage d'utilisation se réduit.
GPS le manque d'autonomie
Les GPS de type auto sont d'une lecture très aisée et d'un prix abordable car de grande diffusion, leur utilisation en cyclo-tourisme évite de sortir la carte à tout bout de champs et facilite considérablement la traversée des villes.
Le principal obstacle à part leur prix est leur faible autonomie, 2 à 3H, à cause de la taille de leur écran, la puissance est de l'ordre de 5W. Une batterie auxiliaire permet d'atteindre 8H, mais en cyclo-camping se pose alors le problème de la recharge du GPS et de la batterie, sans compter les autres appareils, tél, photo, les cyclos sont généralement casés à une extrémité du camping loin de toute prise de courant.
Le GPS que j'ai choisi est l'Evadéo M30 de l'IGN, ce n'est pas le plus facile mais il permet la navigation routière et l'importation de routes depuis un PC (pistes cyclables), possède une fonction rando et enregistre les parcours.
L'utilisation d'un chargeur solaire est une solution que je n'ai pas retenu à cause du prix, de l'encombrement et du débit insuffisant par mauvais temps prolongé, pour garantir une puissance de 5W il faut au minimun un panneau de 10 voir 15 W qui représente une surface pas facile à caser.
J'ai choisi l' option de la recharge batterie par moyeu dynamo et c'est l' étude, la réalisation et les essais de ce système que je vais décrire dans ce blog. Ce choix a nécessité une longue réflexion et pas mal de recherches, car les moyeux-dynamo ne délivrent que 3W en 6V et le GPS consomme 4 W en mode éco (5 W en mode normal)
Banc d'essai
Une dynamo Shimano DH-3 N 20 d'entrée de gamme (20€) prêtée par Radiechen mon vélociste, est montée sur un tour équipé d'une variation de vitesse très précise.
Le compteur de vélo indique la vitesse pour une roue de 20", la dynamo 28" tourne en réalité à 28 km/h quand le compteur indique 20 km/h.
Une ampoule 12 V 5W constitue la charge
Le multimètre jaune mesure l'intensité en A
Le multimètre noir mesure la tension en V
La puissance fournie se calcule par la formule P(Watts) = U(Volts x I (Ampères)
Un oscilloscope qui permet de visualiser la forme du signal complète l'équipement.
Premier essai avec la dynamo seule, la vitesse est de 20 km/h, on peut lire 16,23 V et 0.42 A, la dynamo fournit une puissance de 6.8 W
La vitesse est réglée à 30 km/h la puissance fournie est maintenant de 9.15 W, pas mal pour une dynamo bas de gamme de 3 W.
Le courant fourni est alternatif, le terme dynamo, utilisé pour désigner les générateurs électriques pour vélos est impropre car il s'agit d'alternateurs à aimant permanents.
L'oscillo est réglé sur 10 V et 10 ms la tension maxi est de 19.5 V et la fréquence de 33 Hz ~
Le courant alternatif convient parfaitement pour alimenter une lampe mais pour recharger une batterie il faut le redresser en courant continu par des diodes disposées en pont de Graetz, le condensateur sert à lisser le courant.
Oscillogramme du courant redressé sans filtrage, les ondes négatives sont passées au-dessus de la ligne du 0V. A 20 km/h U = 12.5 V et I = 0.35 A P = 4.37 W
A 30 km/h U = 16.7 V et I = 0.41 A P = 6.85 W
Oscillogramme du courant redressé et filtré par le condensateur de 1000 µF, il reste quelques oscillation résiduelles de faible amplitude.
A 20 km/h U = 12.3 V et I 0.36 A P = 4.4 W
A 30 km/h U = 14.8 V et I 0.40 A P = 5.9 WDernière évolution du schéma avec le rajout de deux condensateurs montés en doubleurs de tension dans le pont de Graetz, arme à double tranchant car leur efficacité est fonction de la fréquence qui elle dépend de la vitesse.
Ils permettent de renforcer les performances de la dynamo aux vitesses de croisière avec une perte aux vitesses inférieures ou supérieures.La détermination de leur capacité est très importante, à 20 km/h 220 µF donne une très bonne plage de fonctionnement, à 30 km/h avec 100µF il est possible de tirer 12 W de la dynamo mais sur une plage plus réduite.
Vitesse 220 µF 150 µF 100 µF 89 µF 79 µF 69 µF
15 3.6 W 1.4W 1.3 W 1.4 W 0.9 W
20 7.7 W 5.6 W 2.5 W 1.1 W 0.9 W
25 7.7 W 9.8 W 6.9 W 4.4 W 3 W 2.3 W
30 6.4 W 8.5 W 11.6 W 12 W 8.9 W 7.1 W
35 5.8 W 7.3 W 10.7 W 12.2 W 16.8 W 14.4 W
40 5.3 W 6.3 W 8.3 W 8.6 W 9.6 W 11.7 W
Le schéma électronique
C'est le schéma électrique et électronique du chargeur de Jens During ( voir lien )
On trouve de gauche à droite:
-le pont redresseur avec des diodes Schottky* et des condensateurs* montés en doubleur de tension .(vu précédemment), l'interrupteur S2 permet le couplage de C1- C2 en Delon, V =15 km/H, ou en Graetz V = 20 km/H pour optimiser la puissance.
- la diode D5, suppression de surtension, agit au-dessus de 18.8 V pour soulager le régulateur IC1, protège les circuits quand la batterie est chargée.
- l'interrupteur thermique S1 fixé sur D5*, coupe l'alimentation de la dynamo en cas d'échauffement du suppresseur D5 et protège celui-ci.
- un indicateur de charge à led double, verte si U <15V et rouge > 15V *
- le condensateur C3 de lissage tension.
- le régulateur IC1 sa tension de sortie est fonction de la tension zéner de D8.( 4.7 V) régule le courant de charge le lissage de la charge batterie jusqu'à 16.4 V
- la diode D9 protège des retours de courant .
- le régulateur IC2 de la sortie 5 V USB de 1 A.
- la batterie Li-ion de 14.8 V et 5200mA est équipée d'une protection de décharge 10 V et de surcharge 16.8 V. tension maxi absolue à ne pas dépasser sans risque de combustion ou explosion.
* diodes Schottky chute de tension de 0.2 V au lieu de 0.6 V
* condensateurs "ultra low ESR utilisés dans les alim. à découpage pour un meilleur rendement.
* fixé par enroulement de fil de cuivre nu recouvert de mastic silicone.
* pour une bonne gestion de l'énergie j'ai rajouté un mini voltmètre numérique.
Le schéma est très simple et et le montage à la portée de tout un chacun, niveau travaux pratiques des classes de 5me.
Le circuit imprimé vu coté composants.
Le schéma est très simple et peut facilement être réalisé sur une plaque d'essai Epoxy à bande et pastilles les raccordements se faisant en soudant des bouts de fils isolés. La platine pouvant ainsi être plus aérée et adaptée à la largeur du boitier.
http://www.gotronic.fr/circuit-opt/12038-opt.jpg
Il est possible de se procurer le circuit imprimé chez Jens pour 12 € + 1.80 € de port.
http://www.forumslader.de/Kontakt.122.0.html
(Je peux fournir un mail type en allemand pour la commande du circuit imprimé, lien contact du blog)
Les données sont protégées, mais libres de droit pour un usage personnel
On trouve de gauche à droite:
-le pont redresseur avec des diodes Schottky* et des condensateurs* montés en doubleur de tension .(vu précédemment), l'interrupteur S2 permet le couplage de C1- C2 en Delon, V =15 km/H, ou en Graetz V = 20 km/H pour optimiser la puissance.
- la diode D5, suppression de surtension, agit au-dessus de 18.8 V pour soulager le régulateur IC1, protège les circuits quand la batterie est chargée.
- l'interrupteur thermique S1 fixé sur D5*, coupe l'alimentation de la dynamo en cas d'échauffement du suppresseur D5 et protège celui-ci.
- un indicateur de charge à led double, verte si U <15V et rouge > 15V *
- le condensateur C3 de lissage tension.
- le régulateur IC1 sa tension de sortie est fonction de la tension zéner de D8.( 4.7 V) régule le courant de charge le lissage de la charge batterie jusqu'à 16.4 V
- la diode D9 protège des retours de courant .
- le régulateur IC2 de la sortie 5 V USB de 1 A.
- la batterie Li-ion de 14.8 V et 5200mA est équipée d'une protection de décharge 10 V et de surcharge 16.8 V. tension maxi absolue à ne pas dépasser sans risque de combustion ou explosion.
* diodes Schottky chute de tension de 0.2 V au lieu de 0.6 V
* condensateurs "ultra low ESR utilisés dans les alim. à découpage pour un meilleur rendement.
* fixé par enroulement de fil de cuivre nu recouvert de mastic silicone.
* pour une bonne gestion de l'énergie j'ai rajouté un mini voltmètre numérique.
Le schéma est très simple et et le montage à la portée de tout un chacun, niveau travaux pratiques des classes de 5me.
Le circuit imprimé vu coté composants.
Le schéma est très simple et peut facilement être réalisé sur une plaque d'essai Epoxy à bande et pastilles les raccordements se faisant en soudant des bouts de fils isolés. La platine pouvant ainsi être plus aérée et adaptée à la largeur du boitier.
http://www.gotronic.fr/circuit-opt/12038-opt.jpg
Il est possible de se procurer le circuit imprimé chez Jens pour 12 € + 1.80 € de port.
http://www.forumslader.de/Kontakt.122.0.html
(Je peux fournir un mail type en allemand pour la commande du circuit imprimé, lien contact du blog)
Les données sont protégées, mais libres de droit pour un usage personnel
La carte du régulateur
J'ai dit plus haut que ce circuit très simple était à la portée de tout un chacun, pour les néophytes il est cependant utile de jeter un coup d'œil ici : http://www.interface-z.com/conseils/soudure3.htm
et surtout prenez votre temps, mais quelle satisfaction devant un montage qui fonctionne.
A gauche sous le capuchon vert, l'interrupteur thermique S1 qui protège la diode D5 (suppressor voltage), celui-ci est fixé sur la diode enroulant serré du fil de cuivre, le tout isolé par du silicone et un bout de thermo-rétractable.( l'interrupteur est fourni avec le circuit imprimé)
Ensuite on voit C1 C2 ici 220 µF, cœur du système ils augmentent la tension à certaines vitesses, 220 µF est la bonne valeur en cyclotourisme, des 100µF fournissent 12 W à 30 km/H.(roue de 20")
A droite la diode D9 et plus bas sous le condensateur IC1 le régulateur calé à 16.3 V, il n'est pas à la bonne place car il chauffe et doit être déporté sur le boitier avec un radiateur, 3 fils en plus.
Sous IC1 se trouve IC2 le régulateur 5 V à haut rendement ( 15 €)
Beaucoup de câblage,
Fils 0.20 mm² pour :
- D7 led duo -3-
- Led 1 USB -2-
- S3 USB -2-
Fils 0.5 mm² pour:
- Dynamo -2-
- S2 couplage C1 C2 -5-
- IC1 -3-
- Accus + et - -2-
Après soudure examinez les pistes du circuit imprimé avec une loupe pour contrôler la qualité des soudures et détecter tout débordement et court circuit entre pistes, ce dernier contrôle doit être doublé par une vérification à l'ohmmètre.
Pour les débutants soudez et raccordez les composants de la partie gauche du schéma jusquà C3 inclus, et branchez la dynamo, et faites tourner la roue, la Led D7 s' allume et aux bornes de C3 vous obtenez une tension de 15 à 20 V.
La batterie
La batterie a été choisie en fonction du schéma de régulateur à diode Zener avec la tension maximum possible, 16.8 V qui permet d'extraire la puissance maximum de la dynamo 3 W, avec l'inconvénient que cette tension n'est pas directement utilisable sans convertisseur CC. Il s'agit de deux batteries Li-ion de 2600 mA ( 4 éléments 3.7 V en série) mises en // pour une capacité de 5200 mA.
Une batterie de 2600 mA est suffisante pour un usage normal, mais en prévision du branchement d'un eePC j'ai préféré prendre de la marge, sur les parcours montagneux il y a peu de courant de charge produit.
La batterie est équipée de sécurités décharge et surcharge.
http://www.batt-energy-shop.de/index.php
Les plus grandes précautions sont recommandées lors la manipulation et la mise en service des batteries Li-ion de grande capacité, risque de combustion, voire d'explosion en cas de court-circuit ou de décharge brutale !
Le coffret électrique
Le coffret plastique Série 416, dim. ext. 150 x 80 x 45 reçoit la batterie il reste un peu de place en haut à gauche pour un porte fusible et loger les câbles.
L'équerre au milieu sert au maintien de la batterie.
Le trou correspond à l'emplacement du régulateur IC1 vissé sur un radiateur, lui-même positionné à l'extérieur du boitier avec une étanchéité au silicone.
La face avant avec:
-le socle 5.5 x 2.6 de la fiche dynamo,
-le socle mini DIN 6 br. de la fiche du voltmètre qui recevra la led bicolore de contrôle charge D7 et la Led 1, voyant USB.
-le socle 5.5 x 2.5 de la fiche 5 V USB
De gauche à droite:
-le commutateur des condensateurs S2.
-l'interrupteur de l'alimentation 5V
-l'interrupteur de l'alimentation 15 V
-le socle 5.5 x 2.5 de la fiche du chargeur eePC
A ce stade il faut s'occuper de la fixation du boitier sur le vélo, sur le Paséo il sera collé sur le cadre avec du ruban double face et bloqué par le siège en intercalant une mousse de compression, comme la première version.
Sur le Fuego un support en tôle d'alu. et le perçage on été nécessaires.
Câblage
Les câbles sont recoupés et soudés sur les socles de prises et des interrupteurs ne pas oublier de mettre des petits manchons thermos-rétractables.Le soudage des 6 broches du socle mini DIN est le plus délicat. A droite IC1 vissé sur son radiateur. Ce radiateur est nécessaire en fin de charge lorsque la tension de charge atteinte, le courant se réduit, IC1 doit dissiper le surplus.
Sur la triple borne blanche viendra se raccorder la batterie avec un fusible à souder 3A en série sur le +.
Avant de terminer le montage, il faut maintenant faire un essai de fonctionnement:
- brancher la fiche du câble dynamo.
- brancher le câble du voltmètre avec ses leds
- soulever et tourner la roue AV pour atteindre une vitesse de 10km/H ~, la led verte s'allume et le voltmètre doit indiquer entre 16.3 et 16.7 V
Le circuit régulateur est bon pour être installé dans le coffret.
La batterie et le circuit régulateur sont en place, engagez la façade dans sa rainure.
Il reste 4 fils à brancher sur le domino, mettre un petit rectangle de mousse sur la batterie, un dernier coup d'œil sur le bon ordre du câblage et vissage du couvercle, le boitier chargeur est terminé.
Inscription à :
Articles (Atom)






